'파이썬'에 해당되는 글 4건
- 2021.06.16 Matlab과 Python에서의 image 좌표축 한번에 정리!
- 2020.10.28 Python(anaconda) Vim intagration 2
- 2020.05.06 Multi Layer Perceptron (MLP) 1
- 2017.10.13 파이썬 가상 환경에서 구동
서론
Matlab이든 Python이든 image 처리를 할때 좌표축 때문에 머리가 아파오는 경우가 꼭 생긴다. 바로 일반적인 좌표계인 x,y 기준으로 위치를 잡을지, image도 array의 일종이니 row, col 기준으로 위치를 잡을지 생각해야 하는 시점이다. 사실 정말 단순한 문제인데 의외로 헷갈리고 각도라도 계산해야 하는 시점이 생기면 지옥이 펼쳐진다. 이 글은 매번 image 처리 파트를 할 때마다 좌표축을 헷갈리는 멍청한 본인을 한번에 이해시키기 위해서 쓰는 글이다.
Rule #1

Matlab, Python, opencv, 캡쳐 프로그램, 지금까지 써본 모든 이미지 관련 프로그램들은 전부 이미지를 세 가지 형태중 하나의 형태로 사용한다. 그 이외의 형태는 아직까지 한번도 본적이 없다. 정확하게 말하자면 데이터 자체는 좌측과 같이 가지고 있고(실제 메모리에서의 구조보다는 indexing 기준), 사용자와 interaction을 해야하는 경우, 즉 마우스로 클릭을 하거나, line을 plot 하거나, figure의 현재 위치를 알려주거나 하는 경우는 중간이나 우측의 형태로 표기한다.
좌표축이 헷갈리는 가장 큰 원인은 개인적으로 데이터 입출력 형태가 두 가지가 있기 때문이라고 생각한다. indexing은 좌측, 입출력은 무조건 중간과 우측 중 하나의 형태만 취하면 그나마 혼동의 여지가 없겠으나, 입출력 형태가 2개가 있어서 혼란이 시작된다. 게다가 중간의 형태는 좌측의 형태와 정확히 일치하고 두 좌표값만 서로 바꾼 형태라 자칫 잘못하면 indexing을 method 1 방식으로 하게 되거나, method 1 방식으로 선을 그어주어야 하는데 indexing 하듯이 값을 넣을 수 있다.
가능한 모든 상황에서 테스트 해보면서 언제 어떤 식으로 좌표축이 표시되는지 확인해서 아래 정리해보았다.
사용하는 좌표축 형태 정리
| Matlab R2020a | Python 3.7.3 (matplotlib=3.1.0) |
|
| Indexing | indexing | indexing |
| Method 1 (reversed Y axis) | imshow, imagesc | imshow figure, object position |
| Method 2 (normal axis) | figure, object position plot, scatter 등 일반적인 graphic |
plot, scatter 등 일반적인 graphic |
| 현재 Method를 따름 | ginput, drawline | ginput |
Indexing
모든 경우에서 indexing을 하는 경우는 일반적인 array의 row, col 방식을 따르기에 가장 단순하다.
예를 들어 가장 최상단 좌측 픽셀을 검은색으로 만들고 싶으면 Matlab과 Python 각각 아래와 같이 입력하면 된다.
img(1,1,:) = 0 % Matlab
img[0,0,:] = 0 # Python
Position Input
Matlab과 Python 모두 axis 상에서 마우스로 위치를 찍는 경우는 직관적으로 현재 axis의 상태를 그대로 따라 값을 저장해준다. 예를들어 imshow로 그림을 그려둔 상태에서 ginput을 실행하면 reversed Y axis 상태로 값을 기록한다. 반대로 plot 함수로 일반적인 cartesian 좌표계 상태라면 ginput 함수는 normal axis 상태로 값을 기록한다. 그러나 둘다 x, y 기준이지 row,col 기준이 아님을 기억하자.
Object Position(중요)
같은 기능에 대해서 여기서 Matlab과 Python, 그리고 다른 프로그램의 행동이 나뉘는 것 같다.
Python은 FigureManager의 geometry 속성 조절을 통해 window의 위치를 조정할 때 여타 image 처리에 사용되는 axis와 똑같이 reversed Y axis의 Method 1번 방식을 사용하는 반면, Matlab의 경우 Method 2 방식으로 figure window 의 position을 설정할 때 좌측 하단 구석이 원점이 된다.
GUI 개발을 할 때도 똑같은 형식으로 작동을 하는데, Matlab의 appdesigner를 사용하거나 ui가 붙는 object(button 등)를 만드는 경우 좌측 하단이 원점이 되는 Method 2 방식을 쓴다. Python으로는 GUI 개발을 해보지 않아서 확실히는 모르나 급히 PyQt5 관련 문서를 찾아보니 좌측 상단이 원점이 되는 Method 1 방식을 쓰는 것으로 보아 두 프로그램 모두 window position을 표기하는 방식과 동일하게 가는 것 같다.

결론
결론적으로 이미지 데이터 입/출력은 무조건 Method 1 방법, Position과 관련된 경우는 사용 언어에 따라 체크를 하고 넘어가는 식으로 규칙을 생각해두는 것이 좋다. 위치 데이터를 저장할 때는 나중에 저장한 위치를 다시 표시할 것을 대비해서 Method 1의 방법으로 저장하는 것이 가장 편하지만 저장한 위치로 image array를 자르거나 하는 복잡한 작업을 할 때 일이 더 복잡해질 수 있다. 본인은 그래서 무조건 데이터 저장은 row, col 기준으로 저장을 하고 필요한 경우에만 x,y로 입출력을 하려고 한다.
나중에 추가할 내용
flipud 한 뒤 set('YDir', 'normal')
'취미 > Programming' 카테고리의 다른 글
| opencv SimpleBlobDetector, blob size 정리 (0) | 2021.09.08 |
|---|---|
| Ubuntu TensorFlow(2.6) GPU 설치 (0) | 2021.09.06 |
| Ubuntu setup (Linux setup) (0) | 2021.06.11 |
| [Vim] Linux 상에서의 Not an editor command: ^M 문제 (0) | 2021.03.24 |
| Python(anaconda) Vim intagration (2) | 2020.10.28 |
서론
온갖 것들에 관심을 주는 성격 때문인지 한 언어의 실력을 진득히 늘리기 보다는 온갖 언어를 조금씩 하게 된 것 같다.
그 덕에 디자인 때문에 왠지 좋아하는 Visual Studio 부터 기억도 안나는 Eclipse, 의외로 자주 열게되는 sublime text까지 다양한 IDE(Integrated Development Environment)를 사용해봤다.
다행히 MATALB과 python은 연구에서 쓰느라 자기 손 처럼 익숙해지기도 했는데 이 python이 정말 IDE가 골치아프다.
인터프리터 기반 언어는 MATLAB이 처음이었는데 깔끔한 상업용 IDE에 익숙해지다 보니 python을 배울 때 정말 애를 먹었다. 메모장으로 시작해 Spyder로 잠깐 넘어갔다가 PyCharm을 발견하고 지금까지 쓰고 있다.
Interpreter Environment 설정부터 git관리까지 완벽하게 해주고 중간부터는 numpy 지원을 해서 깔끔한 gui로 거의 MATLAB급의 환경을 제공해주더라. 게다가 학교에 있는 경우 professional version이 무료! 파이썬 시작한다는 사람들에게 엄청 홍보하고 다녔다.
그런데, 사실 프로그래밍 할 때 IDE의 얼마나 많은 기능들을 쓰는가 싶다.리소스를 고려할만큼 무거운 것들을 돌리지 않으니 리소스 모니터도 필요 없고. 프로젝트라고 불리울만큼 여러 소스코드가 뒤섞여있지 않고, 심지어 버전관리도 따로 프로그램을 돌리기에 사용하지 않는다.
내가 python을 쓸 때 메모장을 쓰지 못하는 이유 를 적어보니 아래와 같이 나오더라.
- 간단한 단축키로 line by line으로 프로그램 돌리기
- 자동완성
- syntax highlighting
- 파일 탐색기 integration
부끄럽게도 정말 이게 다 더라.
compiler 를 사용하는 언어라면 그래도 디버깅을 하며 IDE를 쓸 텐데 python을 쓸 때는 정말 살짝 좋은 메모장 이상의 기능은 쓰고 있지 않았다.
그러던 와중 찐 코딩덕후들이 사용한다는 vim이 떠올랐다.
리눅스 환경에서 코딩을 할 때 가끔 쓰고 i를 누르면 편집, :w를 누르면 저장, :q를 누르면 나가기가 된다는 정도만 알고 있었는데 이게 그렇게 배워두면 뒤로 못 돌아간다더라.

키보드에 난잡하게 있는 커멘드 때문에 두번 포기하고 3번째에야 불편하지는 않을 수준으로 쓰게 되었다만 역시 쓸 일이 없으니 계속 잊을 것 같았다.
그러던 어느날 친구 컴퓨터에서 코딩을 도와주다가 위로 올라가기 위해서 k를 연타하는 자신을 본 순간 깨달았다.
아! 이제 Vim으로 코딩을 해도 되겠다!
다행히 그 명성에 걸맞는 확장성 때문에 + 인터프리터 언어의 특성 때문에 python과 vim은 상성이 아주 잘 맞는다.
단지 윈도우에서 셋업을 하는데 조금 어려울 뿐이다.
가장 좋은 점은 위에서 언급한 execute selected line(s), autocompletion, syntax highlighting, file explorer integration의 모든 기능들을 vim plugin들로 구현할 수 있다.
기록을 남겨둘 겸 몇가지 초기 세팅을 적어두려고 한다.
VIM 설치
python을 쓰는데 anaconda를 쓰지 않을 인간은 없다. 에이 설마. 적어도 연구자들은 anaconda가 안깔려 있으면 거의 100% 이제 막 파이썬을 시작한 것이더라. 그래서 anaconda로 python이 설치되어있다고 가정하고 글을 쓴다.
일단 Path 안에 다른 python이 있지 않은지 확인을 해서 한 컴퓨터 안에 여러개의 python이 돌아다니는 일을 먼저 해결하고 시작해야한다.
기본 옵션으로 anaconda를 설치했으면 cmd 창에서는 python이 실행이 안된다. 요즘은 python이 없는 상태로 커멘드를 입력하면 Microsoft store로 연결해주던데 귀찮게 시리.
Python을 실행하려면 anaconda prompt를 켜서 그 안에서 실행을 해야한다. 그러면 해당 가상 환경에 걸맞는 파이썬이 로드될 것이다.
때문에 vim을 실핼할 때도 cmd로 실행하는 것이 아니라 anaconda prompt 내에서 실행을 해야한다.
지나가다가 보기로는 가상 환경 지원도 해주는 것 같던데 일단 오늘은 기본 (base)에서 돌아가게 하는 것을 전제로 한다.
Window 버전 설치 링크는 다음과 같다.
github.com/vim/vim-win32-installer/releases
Releases · vim/vim-win32-installer
Vim Win32 Installer. Contribute to vim/vim-win32-installer development by creating an account on GitHub.
github.com
그리고 아주 중요한 것.
VIM을 설치할 때는 꼭! anaconda의 32-bit / 64-bit 버전과 맞는 것을 설치해야 한다.
이것 때문에 1시간을 버렸다. 만약 이것을 지키지 않으면 나중에 아래의 메시지를 보게 될 것이다.
E370: Could not load library python38.dll
E370: python38.dll 라이브러리를 로드할 수 없습니다.
E263: Sorry, this command is disabled, the Python library could not be loaded
E263: 미안합니다, 이 명령은 사용할 수 없습니다, 파이썬 라이브러리를 로딩할 수 없습니다.
설치할 때 다른 옵션은 그대로 두고 설치해도 좋다. 그냥 다음 다음 다음 클릭.
Vundle설치 이제는 Vundle 보다는 Vim-Plug를 더 많이 쓰는 것 같다.
vim의 pip과 같은 Plugin 설치에 있어서 착한 기능을 하는 친구가 vundle이다.
이것도 윈도우에서 설치시 에러사항이 있는데 instruction을 따라서 3번이나 설치해봐도 항상 똑같이 제대로 설치가 안되더라. 내가 3번 다 메뉴얼을 잘못 읽었을 가능성도 있다. 어느 누가 풀리퀘를 걸지 않았으려나.
여튼, 내가 한 방법은 다음과 같다.
먼저 git for windows를 설치한다.
anaconda prompt에서 git 입력시 반응이 나타나면 넘어가도 좋다.
설치 링크는 아래와 같다.
Git - Downloading Package
Downloading Git Now What? Now that you have downloaded Git, it's time to start using it.
git-scm.com
공식 페이지 설명을 보면 curl도 필요하다고 하는데 win10은 같이 딸려나온다고 하니 신경쓰지 않아도 될 듯하다.
리눅스 유저라면 헷갈릴수도 있는게 window 용 vim은 .vimrc 대신 _vimrc, ~/.vim 대신 ~/vimfiles 를 사용한다.
그리고 공식 설명에서는 아래의 코드를 그대로 쓰면 된다고 하지만 왜인지 내 cmd는 ~를 홈으로 인식하지 않는다.
powershell을 쓴다면 아래의 코드를 그대로 쓰고
git clone https://github.com/VundleVim/Vundle.vim.git ~/vimfiles/bundle/Vundle.vim
검은창이 익숙하다면 유저명을 적절히 바꿔서 넣고 아래를 쓰자.
git clone https://github.com/VundleVim/Vundle.vim.git C:/Users/유저명/vimfiles/bundle/Vundle.vim
마지막으로 vim을 실행한 후 아래 커멘드를 입력해주면 된다.
:PluginInstall
Vim-Plug 설치
이 글을 작성하는 와중에 알게 되었는데 Vundle 보다는 Vim-Plug가 더 깔끔하고 gui 같은 그래픽을 만들어 놓은 것이 기특하다. Plug를 쓰는 것이 더 좋을 듯 하다.
설치는 정말 간단하다. powershell에서 아래 코드를 실행하자.
iwr -useb https://raw.githubusercontent.com/junegunn/vim-plug/master/plug.vim |`
ni $HOME/vimfiles/autoload/plug.vim -Force
(현명하게도) 주인장을 믿지 못한다면 공식 페이지 설치법을 체크하자
junegunn/vim-plug
:hibiscus: Minimalist Vim Plugin Manager. Contribute to junegunn/vim-plug development by creating an account on GitHub.
github.com
ctags 설치 (옵션)
다른 프로그래머들의 _vimrc 파일을 구경하다가 Vista 라는 Plugin을 찾았는데 이게 상당히 쓸만한 친구인것 같다.
약간 고급 IDE의 프로젝트 브라우져 같은 것인데 어떤 함수가 어디에서 정의되어 있는지 현재 정의한 변수는 무엇인지 등을 알려준다.
이정도면 그냥 Visual Studio나 PyCharm을 하나 만드는 것 같은데..???
설치방법은 아래와 같다.
이 링크에서 최신 release에 들어간 뒤, 설치한 빔 버전에 맞는 (32/64) release 파일을 받는다.
github.com/universal-ctags/ctags-win32/releases
Releases · universal-ctags/ctags-win32
Universal Ctags Win32 daily builds. Contribute to universal-ctags/ctags-win32 development by creating an account on GitHub.
github.com
이후 압축을 풀고 시스템 경로의 Path 안에 포함되어 있는 아무 폴더에 .exe 파일 두 개를 넣어주면 된다.
나는 vim 커멘드를 쓰기에 그냥 vim.exe 파일이 있는 C:\Program Files\Vim\vim82 안에 넣어두었다.
기타 Plugin 설치
설치할 플러그인은 아래와 같다.
- Vim-sensible : 설명을 읽어봐도 모르겠으나 다들 설치하더라(?)
- vim-vuftabline : 버퍼에 넣은 텍스트를 탭으로 보이게 해준다
- nerdtree : 파일 탐색기
- vim-nerdtree-tabs
- vim-gitgutter : git 연동
- nerdtree-git-plugin
- Jedi-vim : 자동완성
- supertab : 자동완성시 tab 사용 가능
- ale : 에러 체크
- vista : ctags를 사용하는 프로젝트 익스플로러st 한 기능
- lightline : 하단 상태바
- onedark : 어두운 colorscheme
- Vim-monokai-tasty : 모노카이가 아니면 코딩을 못하는 병에 걸렸다
이는 _vimrc(.vimrc) 변경후 아래의 커멘드를 실행해주면 된다.
:PlugInstall
Vista.vim 에러 해결
Vista.vim을 까는 중에 아래의 에러가 발생하였다.
17 줄:
E696: List에 콤마 누락: ??])
E116: 함수 get(g:, 'vista_fold_toggle_icons', ['??, '??])(으)로 잘못된 인자가
이 역시 반복되는 재설치, 플러그인 정리로 한참을 시간을 보낸 뒤에야 원인을 알게 되었다.
.vim 파일을 뜯어보니 아이콘을 사용하기 위해서 ▼▶ 기호를 쓰는데 아무래도 망할 인코딩 문제인듯 했다.
_vimrc 파일에 앞에 인코딩 부분을 설정해주니 문제 없이 작동한다.
" sane text files
set fileformat=unix
set encoding=utf-8
set fileencoding=utf-8
첨부한 _vimrc에는 반영이 되어 있으니 그대로 실행하면 된다.
Python 연결
사실 여기까지 실행하면 아래 기능들이 끝난 것이다.
- 간단한 단축키로 line by line으로 프로그램 돌리기
- 자동완성
- syntax highlighting
- 파일 탐색기 integration
안타깝게도 아직 line by line으로 python을 돌리는 것을 찾아내지 못했다.
일단 vim 내부에서 Anaconda Python을 연동시키기 위해서는 무엇보다 vim 자체를 anaconda prompt에서 실행하는 것이 제일 먼저고 _vimrc 파일안에 아래의 라인이 필요하다.
set pythonthreehome=~\anaconda3\
set pythonthreedll=~\anaconda3\python37.dll
아무래도 저게 없으면 python을 쓰는 jedi plugin의 기능이 먹통이 된다.
Anaconda로 python을 설치하면 경로를 못찾아서 그런지 저런 오류가 발생하는 듯 하다.
Anaconda의 경로가 다른 경우 거기에 맞춰서 스크립트를 적절히 수정하기 바란다.
또한 이것 역시 설치한 python의 아키텍쳐 버전과(32/64) vim의 버전이 맞아야 실행이 된다는 점을 기억하자.
vim에서 python을 사용하는 방식은 크게 두 가지 이다.
1. !로 콘솔 커멘드에서 python을 실행시키기
:1,5w !python
위의 예시는 첫 줄 부터 5줄까지 쓰고, (원래는 파일에 쓰는 것이겠지만 이번은 python에 통쨰로 코드를 넘겨주는 것이다.) 이를 외부에서 python를 사용해 실행시키는 방식이다.
권장되는 방법이며 한번 실행이 된 스크립트는 실행 후 결과를 표시한 뒤, 종료된다. 따라서 데이터가 남지 않는다.
2. py3 커멘드로 vim 내부에서 python을 실행시키기
:py3 print("hello world")
위의 예시는 즉각 뒤에 오는 string을 python으로 실행시킨다.
:py3 로 실행하는 스크립트는 vim과 연동된 스크립트라 vim에서 데이터 입출력이 가능하며, vim이 종료되지 않는 이상 이전 실행 결과과 유지도니다.
하지만 이 커멘드는 아직 파일내 영역을 지정해서 실행하는 방법을 찾지 못했다.
doc string을 읽어보면 범위 옵션이 있긴 한데 열심히 커뮤니티를 찾아봐도 알아내기 힘들었다.
방법을 알아낸다면 블로그지기에게 알려주시고 블로그지기가 먼저 알아낸다면 수정해서 올리겠다.
Code snippet execution (Python)
블로그지기는 인터프리터 계열 언어를 사용할 때 창을 두 개 띄워두고 한 창에서 한 줄 한 줄 코드를 실행시키면서 테스트를 한 뒤 이를 다른 창에 옮겨 이를 나중에 활용한다.
예를 들어 1)데이터 로드 -> 2)전처리 -> 3)분석 구조의 스크립트를 짤 때 매번 전체 스크립트를 실행시키지 않고 1)을 끝내두었으면 1) 까지를 실행시켜둔 콘솔에서 2)를 중간중간에 콘솔에 넘겨 실행시켜본다.
컴파일러 계열 언어라면 전체를 돌리고 그 안에서 breakpoint를 넣어가며 디버깅을 해야겠다만 인터프리터라면 왜 굳이.. 그런데 이게 일반적인 방법이 아닌가보다. 코딩을 혼자 배우면 이렇게 된다
때문에 이미 짜둔 스크립트의 일부를 콘솔에 옮겨서 실행해야할 경우가 빈번히 발생하는데, 고급 IDE에서는 현재 줄 실행, 선택 영역 실행 등의 기능이 있어서 단축키를 등록해두고 자주 사용해왔다.
그런데 이게 vim에 없다!
거의 5시간은 찾았는데 플러그인은 커녕 누가 시도한 것을 찾지도 못했다!
세상에.. 그나마 비슷한 것은 https://vim.fandom.com/wiki/Evaluate_current_line_using_Python 이 팁인데 이것은 한 줄만 실행이 가능한 미완성 상태로 남아있다.
심지어 이번에 처음 알았는데 python의 eval 함수는 'a=3' 등의 대입문을 처리하지 못한다더라.
그래서 어찌저찌 하나를 만들었다. vim 을 사용한지 누적 5시간도 안되는 뉴비가 만든 것임을 인지해주기를 바란다.
다음의 코드를 _vimrc에 넣고 vim에서 :Eval을 실행하면 된다.
"Python execute selected line script
python3 << EOL
import vim
def ExecuteSelectedLine(l1, l2):
for i in range(l1-1,l2):
print(">>" + vim.current.buffer[i])
exec(vim.current.buffer[i],globals())
EOL
command! -range Eval <line1>,<line2> python3 ExecuteSelectedLine(<line1>, <line2>)
- :Eval : 현재 줄 실행
- :1,3Eval : 1~3째 줄 실행
- '<,'> : visual 모드로 선택된 영역 실행
다음은 _vimrc 파일의 예시이다.
" vim runtime config file
" Written by Knowblesse 2020
" Adapted from miguelgrinberg/.vimrc
" sane text files
set fileformat=unix
set encoding=utf-8
set fileencoding=utf-8
call plug#begin()
Plug 'tpope/vim-sensible'
"buffer lists instead of tab
Plug 'ap/vim-buftabline'
"NERD
Plug 'preservim/nerdtree'
Plug 'jistr/vim-nerdtree-tabs'
"Git
Plug 'airblade/vim-gitgutter'
Plug 'Xuyuanp/nerdtree-git-plugin'
"Coding
Plug 'davidhalter/jedi-vim'
Plug 'ervandew/supertab'
Plug 'dense-analysis/ale'
Plug 'liuchengxu/vista.vim'
Plug 'itchyny/lightline.vim'
"Color theme
Plug 'flazz/vim-colorschemes'
Plug 'joshdick/onedark.vim'
call plug#end()
set tabstop=4
set shiftwidth=4
set softtabstop=4
set colorcolumn=100
set expandtab
"HighLight SEARCH result
set hlsearch
set pythonthreehome=~\Anaconda3\
set pythonthreedll=~\Anaconda3\python37.dll
autocmd FileType python setlocal completeopt-=preview
set guifont=Bitstream\ Vera\ Sans\ Mono:h14
" indent/unindent with tab/shift-tab
nmap <Tab> >>
nmap <S-tab> <<
" color scheme
syntax on
colorscheme Monokai
filetype on
filetype plugin indent on
" lightline
set noshowmode
let g:lightline = { 'colorscheme': 'onedark' }
let g:nerdtree_open = 0
map <leader>t :call NERDTreeToggle()<CR>
function NERDTreeToggle()
NERDTreeTabsToggle
if g:nerdtree_open == 1
let g:nerdtree_open = 0
else
let g:nerdtree_open = 1
wincmd p
endif
endfunction
function! StartUp()
if 0 == argc()
NERDTree
end
endfunction
autocmd VimEnter * call StartUp()
"Python execute selected line script
python3 << EOL
import vim
def ExecuteSelectedLine(l1, l2):
for i in range(l1-1,l2):
print(">>" + vim.current.buffer[i])
exec(vim.current.buffer[i],globals())
EOL
command! -range Eval <line1>,<line2> python3 ExecuteSelectedLine(<line1>, <line2>)
정리가 잘 안된 감이 있지만 언젠가 더 vim에 익숙해지면 깔끔하게 정리하겠지.
마지막으로 아래 커맨드를 실행을 잊지 않는다
:PlugInstall
마치며
피곤하다.
완성된 IDE에 벌써 정이가는데 이렇게 배우는데 시간을 들인만큼 생산성도 같이 올라가면 좋을 듯 하다.
깔끔한 책 구성으로 vim을 쉽게 배우는데 도움을 주신 김선영 선생님께 감사의 말씀을 멀리서 전하고 싶다.
정말 추천하는 책이다.
www.aladin.co.kr/shop/wproduct.aspx?ItemId=11228613
손에 잡히는 Vim
Vim의 필수 기능들을 친절한 그림과 함께 차근차근 설명하여, ‘배우기 어려운 에디터’라는 고정관념을 깨뜨린다. 리눅스를 공부하는 학생이나 터미널 창에서 작업하는 서버 관리자, 키보드에
www.aladin.co.kr
'취미 > Programming' 카테고리의 다른 글
| Ubuntu setup (Linux setup) (0) | 2021.06.11 |
|---|---|
| [Vim] Linux 상에서의 Not an editor command: ^M 문제 (0) | 2021.03.24 |
| Multi Layer Perceptron (MLP) (1) | 2020.05.06 |
| [GitHub] 3. GUI Git: GitHub Desktop, Sourcetree, GitKraken (0) | 2019.11.13 |
| [GitHub] 2. git과 GitHub의 관계 (0) | 2019.11.12 |
처음 Perceptron의 개념을 접한지 벌써 6년이 지났다.
당시 Single Layer Perceptron (SLP)만 배웠었는데 신경망의 작동원리를 표방한 구조가 마음에 들어 다른 서적까지 뒤져가며 개념을 이해하려고 애썼다.
선형대수도 제대로 알지 못했는데 구조가 단순해서 그런지 수학적으로 완벽하게 개념을 이해할 수 있었다.
과제로 나온 문제 중 하나가 '왜 SLP는 XOR 문제를 풀지 못하는지 설명하라' 였는데 이에 대해서 완벽한 답을 내놓았을 때의 짜릿함이란...

SLP는 그 이후로도 다른 수업이나 특강에서 접할 기회가 많아서 익숙해졌지만 , 아직까지 Multi Layer Perceptron (MLP)를 완벽하게 이해하지 못했다. 수식을 외워서 어찌저찌 코드를 짤 수는 있었지만 왜 저런 수식이 나오는지 개념적으로 설명을 하지 못했다.
지난 코드들을 정리하던 중 짜다 포기한 MLP 코드가 있길래 지금이라면 이해할 수 있지 않을까 하고 도전한 결과, 드디어 오랫동안 끝내지 못한 과제를 해결하게 되었다.
이해한 개념을 잊지 않도록 SLP부터 정리하고 기록하려고 한다.
Single Layer Perceptron
Perceptron 구성에 필요한 것
- input node의 수
- output node의 수
- 초기 weight 값
- learning rate
- epoch 수
먼저 network를 구성하기 위해서 필요한 것은 input node와 output node의 숫자다.
input node의 수 : j
output node의 수 : k
일반적으로 "한 개"의 perceptron은 여러 개의 input을 받아서 하나의 output을 출력하는 대상을 말하기에 output node가 k개 있는 위의 예에서는 k개의 perceptron이 하나로 합쳐져 있는 것이라고 생각해야 한다.

또 필요한 것은 사실상 학습이 일어나는 변수인 weight의 초기값이다.
위와 같이 모든 node 들이 서로 연결된 fully-connect 조건인 경우 input node의 수 x output node의 수 (j x k) 만큼 weight 값이 필요하다.
Output node에서는 이후 input node의 값들을 각각의 weight로 곱해주고 threshold를 넘냐 안넘냐로 output을 바꾸는데 이게 꽤 귀찮다.
왜냐하면 이 threshold를 잘못 정하면 학습이 전혀! 일어나지 않기 때문이다.
그래서 사용하는 방법이 input node가 비록 j개만큼 있지만 항상 1 값을 내놓는 가상의 node를 만들고 weight의 수를 (j x k)가 아닌 (j+1 x k) 로 설정하는 것이다.
이러면 모든 output node의 threshold를 0으로 설정해도 이 가상의 node를 통해 threshold 값이 조정된다.
이러한 가상의 node를 bias 라고 한다.

이렇게 하면 나중에 weight update를 할 때 weight 값이 바뀌면서 각각의 node의 threshold가 바뀌게 되고, 각 node 별로 최적의 threshold가 구해질 것이다.
weight matrix : W => (j +1 x k)
초기 weight 값을 구하는 것에는 다양한 방법이 있으나 편의상 -1과 1 사이의 무작위 값으로 쓰도록 하자.
마지막으로 매번 학습마다 weight 값을 얼마만큼 바꿀지에 대한 learning rate (보통 0.1 정도면 충분) 와 전체 training sample을 몇번 돌려가며 학습을 시킬지에 대한 epoch ( 일단 100정도) 이 필요하다.
import numpy as np
# Constants
num_input_node = 4
num_output_node = 3
learning_rate = 0.1
num_epoch = 100
# Variables
weights = np.random.rand(num_input_node + 1, num_output_node) * 2 -1
# rand 함수는 0~1 사이 값을 주기에 x2-1을 하면 -1과 1 사이의 값이 나온다.
Feed Forward 계산
j+1개의 값들을 각각의 weight들과 곱한 뒤, 합하는 작업을 총 perceptron의 수인 k번 해야한다.
물론 Method 1처럼 for 문을 두 번 사용하면 해결이 되겠지만 Method 2처럼 코드 한줄로 모든 연산을 끝낼 수 있다.
바로 선형대수를 이용하는 것이다.
# Method 1
for perceptron in range(k):
for node in range(j+1):
output_node[perceptron] += weight[node, perceptron] * input_node[node]
# Method 2
output_node = np.dot(weight.T, input_node)
대학원 인공지능개론 수업에서는 교수님이 학생들이 전부 선형대수를 완벽히 알고있다고 가정하고 설명을 하시던데 물리/정보계 이과가 아니어서 그런지 나는 고등학교때 행렬 연산 지식이 전부다.
이 수업을 따라가려고 선형대수로 유명하다는 Strang 교수님의 선형대수 책 스터디도 진행을 했는데 정작 머릿속에 남아있는 개념은 딱 두 가지이다.
행렬의 곱, dot product와 dot product 에서의 차원 계산
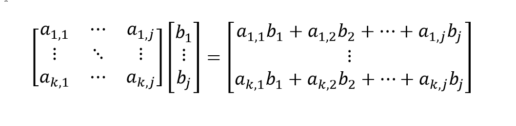
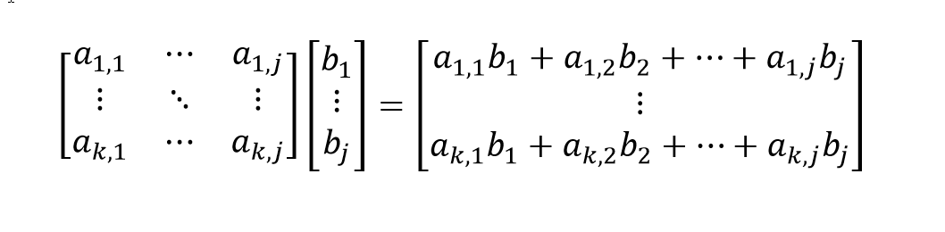
1. The dot product (행렬의 곱)

k x j 형태의 matrix와 j x 1 형태의 matrix (혹은 columnar vector) 의 Dot product는 위와 같이 계산된다.
복잡해보이지만 좌측 matrix의 한 행의 원소들(총 j개)를 각각 같은 위치에 있는 우측 matrix의 열의 원소들(총 j개)로 곱해준 뒤 이를 전부 합해주면 한 행의 element가 완성이 된다.
어짜피 하는 연산은 for 문 2개를 돌리는 것과 같지만, 이렇게 각각의 원소들을 다른 matrix의 대응하는 원소와 곱한뒤 이를 합하는 연산이 Perceptron 외에도 정말 자주 등장하기에 수학에서 이러한 연산을 dot product라고 따로 정의한 것 같다.
물리에서 벡터 연산이나 간단한 선형 방정식에서도 자주 본 적이 있다.
2. The dimension of the dot product
위에 언급한 부분을 잘 보면 두 matrix의 dot product를 구할 때 중요한 조건이 있다.
"좌측 matrix의 한 행의 원소들(총 j개)를 각각 같은 위치에 있는 우측 matrix의 열의 원소들(총 j개)로 곱해준 뒤 이를 전부 합해주면 한 행의 element가 완성이 된다."
바로 좌측 matrix의 열의 수와 우측 matrix의 행의 수가 일치해야 연산이 가능하다는 것이다.
또한 연달아 dot product를 계산하면 최종 결과는 최좌단 matrix의 행의 수 x 최우단 matrix의 열의 수 가 된다.
예를들어, matrix A, B, C가 각각 axb, bxc, cxd 의 차원을 가지고 이들은 전부 곱하면, 최종결과는 a x d가 된다.
이 개념이 아주 중요하다.
끽해야 2-3개의 행과 열로 된 matrix를 다루는 손으로 푸는 문제는 바로 어떻게 연산을 해야할지 보이는데, 수십, 수백개의 행과 열로된 matrix를 컴퓨터로 연산을 할 때는 matrix의 구조가 보이지 않아서 차원이 맞지 않는 오류가 나기 쉽다.
그래서 곱해야할 것들을 정하고, 원하는 결과의 차원을 정한뒤, matrix 자체는 보지 않고 matrix의 dimesion만 보면서 코딩을 해나간다.
다시 SLP로 돌아가서, 현재 weight은 (j +1 x k)로 되어있고, input node의 수는 j+1.
원하는 연산을 위해서는 weight matrix의 행과 열을 바꾸고 bias를 포함한 input node와 곱해주면 된다.
참고로 이렇게 행과 열을 바꿔주는 행위를 transpose 라고 하고 위에 작은 T 첨자를 붙인다.

처음 배울때 선형대수만큼 짜증나는 것은 없다!
덧셈과 곱셈만 있음에도 당장 위에 수식만 봐도 머리가 돌아버릴 것 같다.
그런데 저런 모든 과정을 ∑ 기호를 쓰지 않고 아래와 같이 단순한 기호로 표시할 수 있다는 것은 정말 큰 장점이다.

처음에만 위에 기나긴 수식을 하나 하나 따라가면서 이해하고, 그 이후로는 각 matrix의 차원만 봐도(얘가 j x k 인지 k x j 인지) 전혀 문제가 없으니 걱정 마시라!
우리가 해야할 부분은 dot product를 언제 써야하는지 아는 것과, dot product를 낼 두 matrix의 차원을 맞춰주는 것 뿐이다.
import numpy as np
# Constants
num_input_node = 4
num_output_node = 3
learning_rate = 0.1
num_epoch = 100
# Variables
weights = np.random.rand(num_input_node + 1, num_output_node) * 2 -1
# rand 함수는 0~1 사이 값을 주기에 x2-1을 하면 -1과 1 사이의 값이 나온다.
##############################여기부터##############################################
# Feed Forward
input_node = np.vstack([[[1]],x]) # input vector x 위에 bias를 위한 원소 1을 추가해준다.
a = np.dot(weights.T, input_node)
Backpropagation 계산
다음 단계는 총 k개의 perceptron마다 나온 a 값을 실제로 나와야 하는 값이랑 비교하는 것이다.
desired output의 d를 따서 d라고 부르겠다.
Error = desired output(d) - actual output(a)
a 값이 k x 1 의 형태로 나올 것이기에 desired output도 똑같이 모든 perceptron, 혹은 output node의 desired output 값을 column vector 화 해서 서로 빼주면 k x 1 의 형태로 error를 구할 수 있다.

예로 위 처럼 input node가 총 4개 있는 perceptron은 총 5개의 weight 값(4+1)가질 것이다.
feedforward 계산에 의해서 actual output은 3.173이 나왔다.
desired output이 1이라고 할 때 위의 Error 정의대로라면 Error는 -2.173이 나오며 이는
"실제 나오는 값이 desired 보다 훨씬 크니, weight 값을 - 방향으로 움직여라(=줄여라)"
를 의미한다.
문제는 이 -2.173을 5개의 weight 값에 모두 동일하게 반영하면 안되고, input node의 값에 차등적으로 반영을 해야한다는 것이다.
Error를 만드는데 기여도가 높은 node의 weight 일 수록 weight 변경을 많이 해야한다.
bias를 제외한 첫 번째 node의 경우 7.7의 값이 들어왔다. 그에 비해서 두 번째 node는 0.3이 들어왔다.
당연히 저 -2.173이라는 큰 error 값에 기여한 부분이 첫 번째 node가 두 번째 node보다 크므로, 더 큰 값을 weight 에서 빼주어야 할 것이다.
어차피 learning rate 때문에 한번에 많은 양의 weight 변화가 생기지는 않을 것이므로, 이러한 Error의 기여도의 차이를 단순히 error에 input node의 값을 곱해주는 식으로 계산하면 편하다. 다음과 같이 말이다.

똑같은 짓을 k개의 perceptron에 대해 진행해야 하는데 이 역시 dot product로 할 수 있다.
살짝 편법이기는 하지만, 궁극적으로 우리가 알고 싶은건 (j +1 x k) 형태로 있는 weight의 각각의 원소에 얼마만큼의 값을 빼주어야 하는지 이므로 weight 변화량 또한 (j +1 x k)형태일것이다.
bias를 포함한 input node => (j+1 x 1)
Error => k x 1
원하는 형태 => (j +1 x k)
어떻게 dot product를 계산해야할지 알겠는가?
bias를 포함한 input node와 Error의 행과 열을 바꾼 값을 서로 dot product 해주면
(j+1 x 1) dot 1 x k =j +1 x k 가 된다.
import numpy as np
# Constants
num_input_node = 4
num_output_node = 3
learning_rate = 0.1
num_epoch = 100
# Variables
weights = np.random.rand(num_input_node + 1, num_output_node) * 2 -1
# rand 함수는 0~1 사이 값을 주기에 x2-1을 하면 -1과 1 사이의 값이 나온다.
# Feed Forward
input_node = np.vstack([[[1]],x]) # input vector x 위에 bias를 위한 원소 1을 추가해준다.
a = np.dot(weights.T, input_node)
##############################여기부터##############################################
# Backpropagation
Error = desired_output - a
new_weights = weights - learning_rate*( np.dot(input_node, Error.T) )
이러한 과정을 모든 dataset에 대해서 epoch 번 만큼 반복해 주면 된다.
sklearn에 있는 가장 유명한 dataset인 iris 데이터를 사용해서 위의 모든 내용을 코드로 바꾸면 아래와 같다.
코드가 전부 돌아가면 정확도 값이 나올 것이다.
import numpy as np
from sklearn import datasets
data = datasets.load_iris()
X = data.data
y = data.target
# Constants
num_input_node = 4
num_output_node = 3
learning_rate = 0.01
num_epoch = 1000
# Variables
weights = np.random.rand(num_input_node + 1, num_output_node) * 2 -1
# rand 함수는 0~1 사이 값을 주기에 x2-1을 하면 -1과 1 사이의 값이 나온다.
for epoch in range(num_epoch):
for sample,target in zip(X,y):
# Make input node to column vector
x = np.reshape(sample, [4, -1])
# Feed Forward
input_node = np.vstack([[[1]],x]) # input vector x 위에 bias를 위한 원소 1을 추가해준다.
a = np.dot(weights.T, input_node)
# Make desired output to column vector
desired_output = np.zeros([3,1])
desired_output[target] = 1
# Backpropagation
Error = desired_output - a
new_weights = weights + learning_rate*( np.dot(input_node, Error.T))
weights = new_weights
score = 0
for sample,target in zip(X,y):
# Make input node to column vector
x = np.reshape(sample, [4, -1])
# Feed Forward
input_node = np.vstack([[[1]], x]) # input vector x 위에 bias를 위한 원소 1을 추가해준다.
a = np.dot(weights.T, input_node)
score += int(np.argmax(a) == target)
print(score / len(X))
이대로 코드를 짜면 정확도 값이 0.66을 넘기는 것을 본 적이 없다.
이는 개념의 단순화를 위해서 activation function을 쓰지 않았기 때문이다.
activation function을 쓰지 않으면 actual output 값이 한없이 크거나 작게 나오는 것이 가능하고, 이는 곧 한없기 크거나 작게 weight 값의 변경이 가능하다는 것이다.
실제로 위에서 learning rate 을 0.01로 사용했는데, 이보다 커지면 어느순간 최종 weight 값들이 inf (무한대)로 뜨기 시작한다.
activation function을 쓰면 극단적인 weight 변화라는 문제를 해결할 수 있지만, Error를 weight 값에 반영해 주는 방법을 바꿔주어야 한다.
여기서부터가 가장 어려운 개념이다.
Partial Derivative (편미분)과 Error
최대한 쉽게 설명하려고 노력하겠다.
우리가 결국 Perceptron을 만들면서 궁극적으로 원하는 것은 단 하나다.
Weight 값을 변화, 즉 증가시키거나 감소시켜서 Error를 줄이는 것
"변화" 라는 단어만 나오면 수학에서 바로 튀어 나오는 것이 바로 미분이다.
대체로 미분을 배울때 미분을 계산하는 부분에 많은 시간을 써서 그런지 미분이 의미하는 것을 잊는 경우가 있다.
특정 함수 f(x)를 미분해서 새로운 함수 f'(x)를 만들고, x에 특정한 값, 예를들어 3, 을 넣어주면 f(x) 함수의 숫자 3에서의 기울기를 알려준다.
f'(3)이 양수이면, f(3)인 지점에서 기울기가 오른쪽으로 증가한다는 뜻이니, f(3+아주 작은 수)의 값이 f(3)보다 클 것이다.
반대로 음수이면, f(3+아주 작은 수)의 값이 f(3)보다 작을 것이다.
만약에, X축이 weight, Y축이 Error인 아래의 좌측과 같은 그래프가 있다면 가장 적절한 weight 값은 어디일까?

당연히 중심부근에 있는 Error가 가장 작아지는 지점이다.
하지만 이런 그래프를 쉽게 그릴 수 있었다면 고등학교 2학년 방학숙제로 알파고를 만드는 내용이 나갔을 것이다.
대신 만약에 오른쪽과 같이 특정 weight 지점에서 weight-Error 그래프의 기울기라도 알 수 있으면 어떨까?
위의 예처럼 그래프의 기울기가 양수라면, weight을 증가시키면 Error가 증가하니 weight 값을 살짝 감소시키면 적어도 지금보다는 Error가 작아질 것이라고 확신할 수 있다.
또한 weight 값을 얼마나 감소 시켜야 할지도 대략 알 수 있다.
아래의 그림 모두 미분값의 기울기가 음수라 weight을 증가시키는 것이 Error를 낮출 가능성이 높다.
어느 경우 weight를 더 많이 증가시켜야 할까?

좌측의 경우 weight이 커지면 슬슬 그래프가 평평해질 것 같다.
그에 비해서 우측의 경우는 신나게 아래로 내려가는 중인 것 같다.
이런 경우 우측의 경우 많이 weight 값을 증가시켜도 될 것 같지만, 좌측의 경우 너무 많이 weight 값을 증가시켰다가는 Error가 더 올라가버릴지도 모른다.
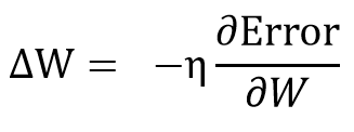
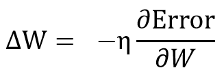
즉, weight은 Error를 weight로 미분한 값의 반대방향으로 움직어야 한다.

W의 변화량 = learning rate * (W에 대한 Error의 기울기) 의 반대
여기까지 이해가 되었다면 Error를 weight로 미분한 값만 알면 weight을 어떻게 바꿔야 할지 알 수 있다는 것을 눈치챘을 것이다.
기울기를 구하는 것이니 미분을 쓰면 될텐데, 편미분은 또 무슨 말일까?
편미분은 미분과 다른 것이 없다. 단지 미분을 하는데, 다른 변수는 다 무시해버리고 관심있는 변수로만 미분을 한다는 것이다.
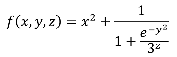
예를들어 아래와 같은 수식이 있다고 하자.

함수 f는 x,y,z의 세 변수에 대한 복잡한 함수이다.
이를 x에 대해서 편미분을 하라는 것은 x 이외의 변수는 모두 상수로 보고 x에 대해서만 미분을 하면 된다.

참고로 편미분의 기호는 d 가 아닌 6을 거꾸로 쓴 듯한 기호로 표기한다.
편미분의 의미는 다른 변수들은 내 알 바 아니고 원하는 변수의 증감이 전체 함수의 기울기에 어떤 영향을 미치는지를 알려주는 것이다.
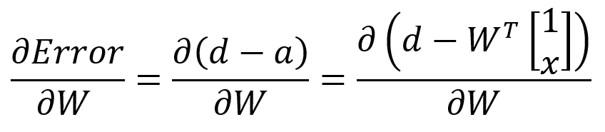
결론적으로 편미분 이야기를 꺼낸 이유는, weight의 변화에 따라 Error가 어떻게 달라지는지를 알기 위함, 즉, 아래의 값을 구하면 weight를 올릴지 내릴지 알 수 있다.

partial derivative의 또 다른 특성 중 하나는 chain rule 이다.
미분 가능한 함수들을 서로 연달아 배치해서 계산을 하는 방법인데, 수학적으로 말하자면 이 chain rule이 있기에 multi layer perceptron이 성립할 수 있다.

위와 같이 partial derivative 하나를 두 개로 쪼개서 계산할 수 있다.
그래서 SLP에 이를 적용해보자.

뭔가 이상하다.
저대로 가면 W가 있는 항이 우측 항 밖에 없으니 상수인 desired input은 W로 미분하면 사라진다.
Error function의 정의가 partial derivative 를 사용한 weight update방식에 맞지 않아서 그렇다.
desired output과 actual output의 차이의 제곱을 2로 나눈 것을 Error로 사용하기로 하면 문제가 해결된다.
어? 맘대로 Error function을 바꿔도 되나?
상관 없다. desired output과 actual output의 차이가 줄어들 수록 Error function의 값이 줄어들기만 하면 어떤 Error function을 써도 문제가 없다.
결과는 다음과 같다.

(d-a)는 Error, 그 뒤의 항은 input node의 값이다.
정확하게 우리가 위에서 본 식이다.
눈치챘을 수도 있지만 Error function 앞에 붙여둔 1/2는 정말 아무 의미없는 숫자다. (1/100 로 해도 된다.)
대신 1/2로 해두면 미분할 때 위에 있던 2가 똑 떨어져 나오기 때문에 위처럼 식이 깔끔해질 수 있다.
Single Layer Perceptron - with activation function
activation function은 input node와 각각의 weight 들의 곱의 합, 즉 a 값이 특정 범위 내에 있도록 해주는 함수이다.
가장 많이 사용하는 함수는 sigmoid, tanh, ReLU function 이며 output node의 값이 극단적으로 나오지 않도록 제한해주는 역할을 한다.

X 값에 따라 제한된 범위에서 Y값이 나오도록 하는 것 외에 activation function에는 한가지 요구사항이 붙는다.
바로 미분 가능성이다.
미분이 가능해야 나중에 partial derivative를 구할 수 있기에 위의 세 그래프 모두 X에 대해서 미분이 가능하다.
이 이후로 부터는 activation function으로 sigmoid 함수를 사용하도록 하겠다.

이 sigmoid 함수는 미분을 하면 재미있는 모습을 보여주는데, sigmoid 함수 y=f(x)는 미분을 하면 y(1-y) 로 표현이 된다.
미분하기 전 값으로 미분 후의 값을 표현할 수 있는 것이다.

위에서 언급한 tanh 함수도 미분을 하면 자기 자신으로 표현을 할 수 있으며, 이런 특성은 이후 아주 편리하다.
Feed Forward 계산
activation function이 없는 경우와 똑같다.
단지 node와 weight의 dot product를 바로 output으로 쓰는 것이 아니라 이 값을 activation function에 집어넣어서 나온 값을 output으로 사용한다.
아래에서 각 node의 weighted sum을 구한 뒤, sigmoid 함수에 넣어서 0.9598 이라는 값을 뽑아내는 것을 볼 수 있다.

위에서 사용한 코드의 맨 아래 한 줄만 추가하면 feed forward 파트는 끝이다.
import numpy as np
# Constants
num_input_node = 4
num_output_node = 3
learning_rate = 0.1
num_epoch = 100
# Variables
weights = np.random.rand(num_input_node + 1, num_output_node) * 2 -1
# rand 함수는 0~1 사이 값을 주기에 x2-1을 하면 -1과 1 사이의 값이 나온다.
# Feed Forward
input_node = np.vstack([[[1]],x]) # input vector x 위에 bias를 위한 원소 1을 추가해준다.
a = np.dot(weights.T, input_node)
##############################여기부터##############################################
output_node = 1 / (1+np.exp(a))
Backpropagation 계산
위에서 언급한 partial derivative를 쓰면 Error에 대한 weight의 영향을 아래처럼 계산할 수 있다.
참고로 a는 input node에 각각 해당하는 weight 값을 곱하고 합한 값
y는 이 a를 activation function을 통과한 값이다.
x에 weight을 곱하고 합하기(=a). 이 결과를 sigmoid 함수에 넣기(=y)

마지막 식을 차원에 맞춰서 정렬한 후, 코드로 바꾸면 아래와 같다.
import numpy as np
# Constants
num_input_node = 4
num_output_node = 3
learning_rate = 0.1
num_epoch = 100
# Variables
weights = np.random.rand(num_input_node + 1, num_output_node) * 2 -1
# rand 함수는 0~1 사이 값을 주기에 x2-1을 하면 -1과 1 사이의 값이 나온다.
# Feed Forward
input_node = np.vstack([[[1]],x]) # input vector x 위에 bias를 위한 원소 1을 추가해준다.
a = np.dot(weights.T, input_node)
output_node = 1 / (1+np.exp(a))
##############################여기부터##############################################
# Backpropagation
delta = -(desired_output - output_node) * output_node * (1-output_node)
new_weights = weights + learning_rate*( np.dot(delta, input_node.T).T )
코드 중간에 delta 라는 변수를 따로 만들고 나중에 bias를 포함한 input node의 값을 곱해주었다.
이를 반영해서 돌아가는 iris 코드는 다음과 같다.
import numpy as np
from sklearn import datasets
data = datasets.load_iris()
X = data.data
y = data.target
# Constants
num_input_node = 4
num_output_node = 3
learning_rate = 0.1
num_epoch = 1000
# Variables
weights = np.random.rand(num_input_node + 1, num_output_node) * 2 -1
# rand 함수는 0~1 사이 값을 주기에 x2-1을 하면 -1과 1 사이의 값이 나온다.
for epoch in range(num_epoch):
for sample,target in zip(X,y):
# Make input node to column vector
x = np.reshape(sample, [4, -1])
# Feed Forward
input_node = np.vstack([[[1]],x]) # input vector x 위에 bias를 위한 원소 1을 추가해준다.
a = np.dot(weights.T, input_node)
output_node = 1 / (1 + np.exp(-a))
# Make desired output to column vector
desired_output = np.zeros([3,1])
desired_output[target] = 1
# Backpropagation
delta = -(desired_output - output_node) * output_node * (1-output_node)
new_weights = weights - learning_rate*( np.dot(delta, input_node.T).T)
weights = new_weights
score = 0
for sample,target in zip(X,y):
# Make input node to column vector
x = np.reshape(sample, [4, -1])
# Feed Forward
input_node = np.vstack([[[1]], x]) # input vector x 위에 bias를 위한 원소 1을 추가해준다.
a = np.dot(weights.T, input_node)
output_node = 1 / (1 + np.exp(-a))
score += int(np.argmax(output_node) == target)
print(score / len(X))
Multi Layer Perceptron
편미분과 말도 안되는 선형대수를 뚫고 위 까지 이해를 했다면, MLP도 정말 쉽게 넘어갈 수 있다.
중간에 back propagation에 한 스텝이 추가될 뿐이다.

node가 총 3개가 되고 이에따라 weight matrix도 두개가 필요하다.
input, hidden, output으로 명명하면 혼돈의 여지가 있어서 순서대로 n1, n2, n3로 명명하고 weight 들은 첨자로 어느 노드 사이에 있는 weight 인지 달아두었다.

Feed Forward 계산
import numpy as np
# Constants
num_n1_node = 4
num_n2_node = 3
num_n3_node = 4
learning_rate = 0.1
num_epoch = 100
# Variables
W_12 = np.random.rand(num_n1_node + 1, num_n2_node) * 2 - 1
W_23 = np.random.rand(num_n2_node + 1, num_n3_node) * 2 - 1
# Feed Forward
n1 = np.vstack([[[1]],x]) # input vector x 위에 bias를 위한 원소 1을 추가해준다.
a2 = np.dot(W_12.T, n1)
n2 = 1 / (1 + np.exp(-(a2)))
n2 = np.vstack(([[1]], n2))
a3 = np.dot(W_23.T, n2)
n3 = 1 / (1 + np.exp(-(a3)))
Backpropagation 계산
W23의 계산

W23은 output node인 n3와 직접 연결되어 있기에 Single Layer 처럼 구하면 된다.
문자들만 달라졌지 위에서 작성한 식과 똑같다.
W12의 계산
W23의 경우는 바로 output node와 연결이 되어 있어서 어느 부분을 고치면 되는지 직관적으로 알 수 있는데, W12의 영향력은 W23을 한번 더 지나서 나타나기에 중간 연결고리를 모른다.
대신 우리는 각각의 값들의 아래의 연결고리를 안다.

a2랑 W12가 같이 있는 식이 있고, a2 & n2 | n2 & a3 | a3 & n3 | Error 와 n3가 같이 있는 식도 알고 있다.
따라서 이러한 연결구조를 활용해서 chain rule을 통해 아래의 식을 구할 수 있다.

마지막 식의 첫 파란 항에서 W23 위에 *이 붙어있는데, 이는 첫째행을 제외한 W23을 말한다.
이 행을 지워주는 이유는 두 가지 방법으로 설명할 수 있는데,
일단, 편미분을 bias를 포함한 n2로 하는 것이 아니라 n2로만 하기에 Weight에서 bias 관련 부분을 빼고 나머지 값만 써주는 것이라고 설명할 수 있다.
다른 방법으로는 W23의 첫째 행에는 n2의 bias와 n3를 연결하는 weight 값이 들어있는데, n1과 n2의 bias는 서로 연결되어 있지 않으므로 n2의 bias 관련 정보는 빼주는 것이라고도 설명할 수 있다.

겨우 끝났다.
이 모든 과정을 코드로 정리하면 아래와 같다.
import numpy as np
# Constants
num_n1_node = 4
num_n2_node = 3
num_n3_node = 4
learning_rate = 0.1
num_epoch = 100
# Variables
W_12 = np.random.rand(num_n1_node + 1, num_n2_node) * 2 - 1
W_23 = np.random.rand(num_n2_node + 1, num_n3_node) * 2 - 1
# Feed Forward
n1 = np.vstack([[[1]],x]) # input vector x 위에 bias를 위한 원소 1을 추가해준다.
a2 = np.dot(W_12.T, n1)
n2 = 1 / (1 + np.exp(-(a2)))
n2 = np.vstack(([[1]], n2))
a3 = np.dot(W_23.T, n2)
n3 = 1 / (1 + np.exp(-(a3)))
##############################여기부터##############################################
# Backpropagation
delta23 = -(desired_output - n3) * n3 * (1-n3)
W_23 = W_23 - learning_rate * np.dot(delta_23, n2.T).T
# 위에서 n2 변수를 bias를 포함해서 정의했기에 여기서는 [1:,:] 인덱싱을 사용해 맨 윗행 값을 뺀다.
# 또한 W_23에서도 맨 윗행 값을 뺀다.
delta_12 = np.dot(W_23[1:, :], delta_23) * n2[1:, :] * (1 - n2[1:, :])
W_12 = W_12 - learning_rate * np.dot(delta_12, n1.T).T
iris 데이터에 적용한 코드는 아래와 같다.
import numpy as np
from sklearn import datasets
from sklearn import model_selection
data = datasets.load_iris()
X = data.data
y = data.target
# Select node
num_n1_node = 4
num_n2_node = 12
num_n3_node = 3
# Generate model
W_12 = np.random.rand(num_n1_node + 1, num_n2_node) * 2 - 1
W_23 = np.random.rand(num_n2_node + 1, num_n3_node) * 2 - 1
num_epoch = 1000
learning_rate = 0.2
for epoch in range(num_epoch):
for sample, target in zip(X,y):
# Forward
n1 = np.reshape(np.append([1], sample), [num_n1_node + 1, -1])
a2 = np.dot(W_12.T, n1)
n2 = 1 / (1 + np.exp(-(a2)))
n2 = np.vstack(([[1]], n2))
a3 = np.dot(W_23.T, n2)
n3 = 1 / (1 + np.exp(-(a3)))
# Backward
DesiredOutput = np.zeros([num_n3_node, 1])
DesiredOutput[target] = 1
Error = 0.5 * (DesiredOutput - n3) ** 2
delta_23 = -(DesiredOutput - n3) * n3 * (1 - n3)
W_23 = W_23 - learning_rate * np.dot(delta_23, n2.T).T
delta_12 = np.dot(W_23[1:, :], delta_23) * n2[1:, :] * (1 - n2[1:, :])
W_12 = W_12 - learning_rate * np.dot(delta_12, n1.T).T
score = 0
for sample, target in zip(X,y):
n1 = np.reshape(np.append([1], sample), [num_n1_node + 1, -1])
y1 = np.dot(W_12.T, n1)
n2 = 1 / (1 + np.exp(-(y1)))
n2 = np.vstack(([[1]], n2))
y2 = np.dot(W_23.T, n2)
n3 = 1 / (1 + np.exp(-(y2)))
score += int(np.argmax(n3) == target)
print(score / len(X))
아직 이것보다 더 쉽게 Multi Layer Perceptron을 설명하는 글을 보지 못했다.
Multi layer를 도입하기 위해서는 partial derivative 개념은 필수이며, 2차원 weight matrix에 대한 연산을 설명하기 위해서는 Sigma로 도배하거나, 선형대수로 머리를 터뜨려야 한다.
그나마 선형대수를 사용하는 것이 겉으로 보기에 아주 깔끔하고 정돈되어 있어서 굳이 이 방법을 사용했다.
하나 고백하자면 matrix와 matrix의 partial derivative는 제대로 정의가 되어있지 않다고 한다. (wiki 참고)
따라서 matrix calculus를 제대로 배운 사람이라면 말도 안되는 transpose, 맘대로 어기는 Commutative property에 혀를 찰 것이며 제대로 계산을 하기 위해서는 다른 방법을 써주어야 하는 것 같다.
matrix calculus 부분은 다음을 위한 과제로 남겨두려고 한다.
어찌되었건, dimension만 제대로 맞춰주면 위의 코드는 돌아간다!
마치며
기계학습에 대한 대중들의 관심이 높아져서 그런지 관련 사기꾼들도 같이 늘어나는 것 같다.
내 연구 프로젝트에 대해서 생뚱맞게 4차 산업혁명이나 인공지능과 관련있는 점이 있냐고 물어보는 사람들이 있는가 하면, 기계학습과 인공지능의 차이도 모르는 사람들이 아무곳에나 "자율형", "인공지능" 등의 말을 붙이고 다닌다.
물론, 어떠한 학문이든 진입 장벽은 낮을수록 좋고, 누구나 쉽게 분야에 참여해 배워보고, 그 유용성을 누려야 한다고 생각한다.
하지만 가상악기와 MIDI를 사용해서 바이올린을 연주하는 사람이 "나는 바이올린을 잘 안다!" 라고 말하면 안되듯이 남이 만들어 놓은 코드 몇 줄로 classifier를 만들고 기계학습을 잘한다고 말하면 안된다.
더욱이 기계학습을 연구에 사용하거나, 실무에 사용하는 경우 적어도 기저 개념을 한번이라도 유도해보지 않으면 주의점과 한계들을 놓쳐서 치명적인 오류를 범할 수 있을 것이다.
자신과 관련된 분야에 대중의 관심이 많아질 수록, 보다 겸손하고 신중한 자세를 취하는 것이 옳은 것 같다.
- 부족한 글 읽어주셔서 감사합니다.
- 오류나 오타가 있으면 댓글로 감사히 받겠습니다.
'취미 > Programming' 카테고리의 다른 글
| [Vim] Linux 상에서의 Not an editor command: ^M 문제 (0) | 2021.03.24 |
|---|---|
| Python(anaconda) Vim intagration (2) | 2020.10.28 |
| [GitHub] 3. GUI Git: GitHub Desktop, Sourcetree, GitKraken (0) | 2019.11.13 |
| [GitHub] 2. git과 GitHub의 관계 (0) | 2019.11.12 |
| [GitHub] 1. 시작하기 (0) | 2019.11.11 |
1년전 처음 접한 이후로 너무 많이 깠지만 아직도 1년은 더 깔 수 있을 것 같은 파이썬.
파이썬의 최대의 단점 중 하나는 Python 3과 2, 두 가지 버전이 존재하며, 이 둘이 서로 호환이 안된다는 것이다.
가장 대표적인 차이점으로 왜인지 모르게 print 함수의 사용 방식을 이야기 하던데 두 언어가 콘솔이 "Python_Sucks"라는 문구를 표시하게 하는 방식은 아래와 같다.
<Python 2.X>
print Python_Sucks
<Python 3.X>
print("Python_Sucks")
간혹 파이썬을 사용하는 프로그램을 돌리다보면 print 문이 들어가있는 구문에서 오류가 발생했다는 메시지를 볼 수 있는데 99%의 확률로 해당 프로그램이 잘못된(제작자가 원치 않았던) 버전의 파이썬으로 프로그램을 돌리고 있는 것이다.
글지기는 fMRI 분석 프로그램을 돌리다가 해당 문제를 경험했는데 default python을 바꾸어줘도 해결이 안되고 프로그램 내부에 어떤 Python을 쓰라고 명령을 할 수 있는 부분도 없고 해서 엄청 빡쳤다.당혹스러웠다.
잘 아시는 분은 이미 아시겠지만...
아나콘다를 설치한 유저라면 간단히 문제를 해결 할 수 있다.
자세한 내용은 아래 사이트를 참고하고, 필요한 부분만 보려면 아래 글지기가 요약해둔 부분을 보면 된다.
https://conda.io/docs/user-guide/tasks/manage-environments.html#creating-an-environment-with-commands
0. 선행조건 : 아나콘다가 깔려있어야 한다.
1. 먼저 콘솔을 실행한다. 우분투에서는 터미널을...
2. 아래의 커멘드를 사용해서 가상 파이썬 환경을 만든다.
>>conda create -n 환경의_이름_(잘외워두자) python=파이썬 버전
예) conda create -n pytEnv27 python=2.7
=> pytEnv27 이라는 이름으로 파이썬 2.7 환경을 만든다.
만드려는 가상환경에 해당하는 파이썬 버전이 없으면 자기가 알아서 깔아준다. (좀 걸리니 커피한잔 마시고 오자.)
3. 해당 환경을 활성화 시켜준다.
<Window>
>>activate 환경의_이름
<Linux>
>>source activate 환경의_이름
환경의 이름을 매번 까먹는 글지기를 포함하는 안타까운 프렌즈라면 아래의 커멘드만 기억하면 된다.
conda info --envs
이것도 기억을 못하는 안타까운 글지기는 아래의 방법을 쓴다.
<Linux>
>>source activate asdfojaeoifjoewjaofi
궁시렁궁시렁
conda info --envs 를 쓰면 니가 만든 환경을 볼 수 있다는 설명
궁시렁궁시렁
그렇게 하면, 우분투의 경우 터미널 앞에 해당 환경의 이름이 붙어서 나온다!
이 상태에서 프로그램을 실행하면 해당 파이썬 환경에서 프로그램을 돌려볼 수 있다.
부디 이 글이 파이썬 버전에 분노하며 밤 잠을 설치고 있는 불쌍한 대학(원)생을 구원할 수 있기를....
'취미 > Programming' 카테고리의 다른 글
| Multi Layer Perceptron (MLP) (1) | 2020.05.06 |
|---|---|
| [GitHub] 3. GUI Git: GitHub Desktop, Sourcetree, GitKraken (0) | 2019.11.13 |
| [GitHub] 2. git과 GitHub의 관계 (0) | 2019.11.12 |
| [GitHub] 1. 시작하기 (0) | 2019.11.11 |
| 에어컨 냉각수 수위 경보기 (0) | 2019.07.26 |